איך לא ליפול בפח? טכניקה אלגברית, מאחורייך
מכירים את זה שאתם פותרים שאלה, אתם בטוחים שהצלחתם, אבל התשובה שלכם לא נכונה?אז תדעו שבחלק גדול מהמקרים הטעות שלכם נובעת מחוסר תשומת לב לכללים של טכניקה אלגברית. לפניכם, 5 טעויות שכיחות של טכניקה אלגברית - לצד פתרונות נכונים


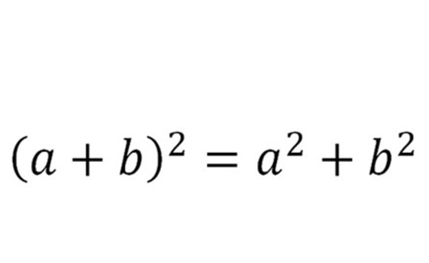
אכן טעות מאוד נפוצה. אל תשכחו שיש איבר נוסף , 2ab.
ולכן, זוהי אחת הנוסחאות של כפל מקוצר, אל תקצרו אותה יותר מדי:

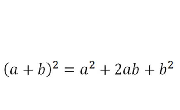
טעות מספר 2: גם הטעות הזאת מגיעה מנוסחאות הכפל המקוצר

פיתוח הנכון של האגף השמאלי של המשוואה הוא:

אם תפתחו את הסוגריים באגף הימני של המשוואה, תראו שזהו הפיתוח הנכון.
טעות מספר 3: טעות שמגיעה מעולם השורשים

הטעות במקרה זה היא הוצאת שורש כאשר יש פעולת חיבור בתוך השורש. זה פשוט לא נכון. אתם יכולים לבדוק זאת מספרית. האם 7= 3+4= (9+16) √ ? כמובן שלא.

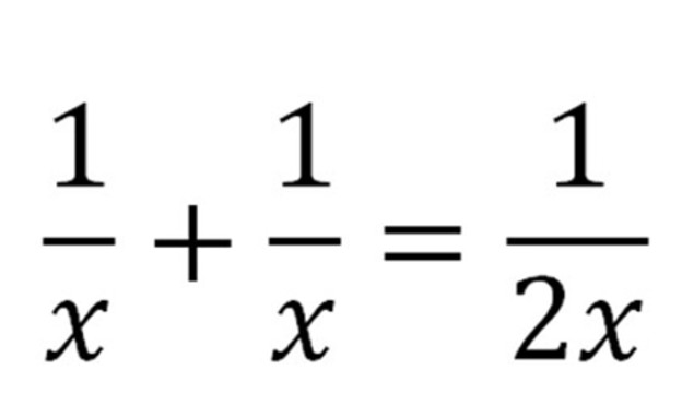
הטעות במקרה זה היא חיבור המכנים. זכרו, לא מחברים בין המכנים אלא - עושים מכנה משותף באופן הבא:

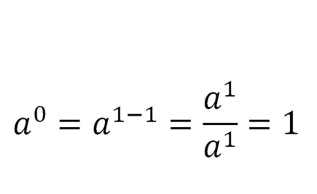
טעות מספר 5: הטעות היא מעולם החזקות

מספר בחזקת אפס שווה לאחת ולא לאפס - a^0=1. האמת שבמקרה זה אין אפשרות להציב מספרים אלא חשוב להבין איך הגדירו המתמטיקאים העלאת מספר בחזקת אפס, כי בעצם אין דבר כזה לכפול מספר בעצמו אפס פעמים:

אז נגענו במספר טעויות נפוצות של טכניקה אלגברית, חשוב להכיר אותן כדי שלא תיפלו בפח במבחן, תשמרו את הטעויות שלכם למקומות קצת יותר מורכבים, חבל לבזבז אותן על טכניקה אלגברית.
בהצלחה!
הכותב הוא חלק מנבחרת המורים של האתגר 5, ואיש פיתוח תוכן בצוות המתמטיקה של המרכז לטכנולוגיה חינוכית (מטח).